HomeUpSearchMail
NEW

Normal modes in a room

The following procedures are given:

Resonance in tube

Resonance (axial modes) can occur in two different theoretical tube settings: With: p == 1, 2, 3, 4, ... (normal mode)
        c (speed of sound) = 337 [m/sec] at 10 °C
        Leff (effective length of tube)  [m] (= L + q*0.85*R if the tube has flanged ends)
        L == length of tube/string [m]
        q == the number of open ends (0, 1 or 2)
        R == radius of tube [m]

Calculator (browser must have JavaScript enabled)

Temperature:  [°C]
Number of open ends (q):  (0, 1 or 2)
The open ends are flanged:  
Length (L):  [m]
Radius (R):  [m]
Modex (p): 
resonance frequency fp[Hz]
                   Speed of light (c):  [m/sec]
                   Effective length (L):  [m]

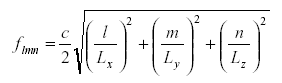
Resonance in room

Information how resonance behaves in a room can be seen at this link. This link gives a general formula for resonance frequencies in a closed rectangular room (l, m, n = 0, 1, 2, 3...):
Also from the above link, the sound behavior of a closed rectangular room:

(dashed line is speaker response)

If the source or receiver of the sound is in the middle of the x, y and z of the room, normal modes with even values of l and m and n will be detected more pronounced (red peaks in above picture).

For some additional information on the different type of resonances, the below citation is important:

Room modes consist of three different types of resonances, these are known as axial, tangential & oblique modes. Axial modes consist of waves resonating only along one dimension: the length, width or height of the room (two out of  the l, m and n are zero). Tangential modes involve two dimensions, the length & width, length & height, or width & height (one out of  the l, m and n is zero). Oblique modes involve all three dimensions in each mode of resonance (none out of  the l, m and n is zero).
Normally the axial modes have the most strength while the oblique modes have the lowest strength. Often times the oblique modes are ignored in simple analysis. Axial modes are the ones that most often become overly excited...


Calculator

Width (Lx):  [m], Modex (l): 
Length (Ly):  [m], Modey (m): 
Height (Lz):  [m], Modez (n): 
Temperature: fill in the above field

room resonance frequency flmn [Hz]

Helmholtz resonance

Helmholtz resonance can occur  in case a chamber has a door/window/passage (the passage wall should be air tight). The area of the door/window/passage should be smaller then the area of the chamber. In case gaps exist in the chamber walls see also this link for some theory.
See this link for more info:

 Helmholtz formula
with: S == area of passage [m2]
        Leff == effective length of passage [m] (= L + 2*0.85*R if passage entrance is flanged)
        V == volume of chamber [m3]
        R = Radius of passage [m]
        c/Leff must be much smaller then f
        area of passage must be much smaller then area of chamber

Calculator

Height of passage:  [m]
Width of passage:  [m]
Length of passage:  [m]
Oudside passage end is flanged:  
Chamber-passage flang is tapered:  
Volume of chamber (V):  [m3]
Percentage of chamber area of all chamber gaps:  [%]
Average length of chamber gaps:  [m]
Approximate number of chamber gaps:  [-]
Temperature: fill in the above field

Helmholtz frequency (f):  [Hz]
                   Effective length of passage:  [m]

Some monuments and their Helmholtz parameters



Maeshowe (UK)
Newgrange (IE)
D1 (NL)
Original
Present
Original
Present
Original
Present
Passage Height [m]
1.05
1.05
1.5
1.5
0.7
0.7
Width [m]
1.35
1.35
0.8
0.8
0.85
0.85
Length [m]
9.5
9.5
10.2*
10.2* 2.7
1.1+
Outside flanged [-]
true
true
true
false
true
true
Inside tapered [-]
false
false
true
true
false
false
Chamber Volume [m3] 99**
95
85**
83
13
13
Percentage gaps area [%] 0
0.02
0.01
0.5
0
15
Average length gaps [m]
-
1
6
1.15
-
.75
Appr. number gaps [-]
-
1
10
10
-
12
fhelm [Hz] 2.0
2.1
2.0
4.0
6.2
27.9
*The Newgrange values assume passagestart at L3-R3 and stops at L17-R15.
**Volume somewhat lower than present days (due to lowering of heights in present days). (O'Kelly [1982], page???)
+The passage is shorter because of the airgaps in the passage.

Crossover frequency

Below the crossover frequency (F2, Everest [2001], page 324) normal modes are dominating the scene and above the crossover frequency the sound ray approach is going to play a rôle:

F2= 1886*sqrt(RT60/V) [Hz]
with: RT60 == Reverberation time [sec]
        V == volume of chamber [m3]


Calculator

Volume of chamber (V):  [m3]
Reverberation time (RT60):  [sec]

Crossover frequency (F2):  [Hz]

Normal modes in a megalithic building: Maeshowe

Remark: more measurements on actual megalithic buildings can be found here.

According to The chambered cairns of Orkney ([Davidson], page 144) the possible original dimensions of Maeshowe are as follows (length * width * height):

Using the above theoretical acoustical formula's, one can determine the following resonance frequencies (normal modes): Remark: Resonance frequencies that are some 5 Hz apart will in actual live not be measured separately.

The above resonance frequencies will not precisely be measured in a megalithic building, because the passage/chamber sides are not smooth and also because the roof is corbelled.
The presence of people will change the frequencies (softer walls [absorbing energy], smaller dimensions [higher frequencies]).

This can be measured using the R+D computer program (see also the actual measurements).


Disclaimer and Copyright
HomeUpSearchMail

Major content related changes: Nov. 17, 2001